What is I-SPI?

Download from GitHub

The Interactive Serology Plate Inspector, I-SPI, is an open-source web application designed to streamline quality control (QC) and quality assurance (QA) for multiplex immunoassays. It provides a unified workflow that supports both automation and user decision-making while remaining grounded in objective statistical algorithms.

Combining interactive visualization with robust statistical algorithms, I-SPI empowers users to manage, analyze, and evaluate many experiments in their study with confidence and flexibility.

What Can I-SPI Do?  

Bead Count Analysis

Each well on the plates is evaluated for the number of beads detected per antigen. Low bead counts can indicate issues such as pipetting errors, bead aggregation, or instrument problems, and may affect the reliability of the results. Ensuring adequate bead counts per well helps maintain statistical validity and confidence in the assay measurements. Researchers can set thresholds based on recommended guidelines or their own study-specific requirements to interactively identify and visualize wells with low and sufficient bead counts. 

Standard Curve Analysis

Standard Curves can be fitted to standards using an unsupervised model selection algorithm with the aim to find the best fitting model to your data. The algorithm fits robust standard curves and finds the best fit among different converging models. A key feature of this approach is reliable and robust standard curve estimation with automated model selection that can fit a wide variety of standard curves from multiplex assays.

An example of a comparison between converging model fits. Panel C allows for a direct visual comparison of the information criteria and model parameters from each candidate model. You can learn more about the Y4, Y5, Yd4, Yd5 and Ygomp4 model forms that are compared by downloading their details below.

Samples with known Median Fluorescence Index (MFI) are plotted and concentrations can be calculated from both interpolated and robust estimators. Standard curves for a single antigen can be summarized in one figure across all the plates for a feature along with an aggregated normalized standard curve.

Analytical sensitivity measures

  1. Sample Measurement Error

The precision of estimated concentration for all individual test samples is automatically calculated.

Sample precision (right-hand axis) is measured using the coefficient of variation (%) for each sample (assay response in gold) is shown by the red points. The dashed line represents the user-defined cutoff used to identify acceptable sample precision.

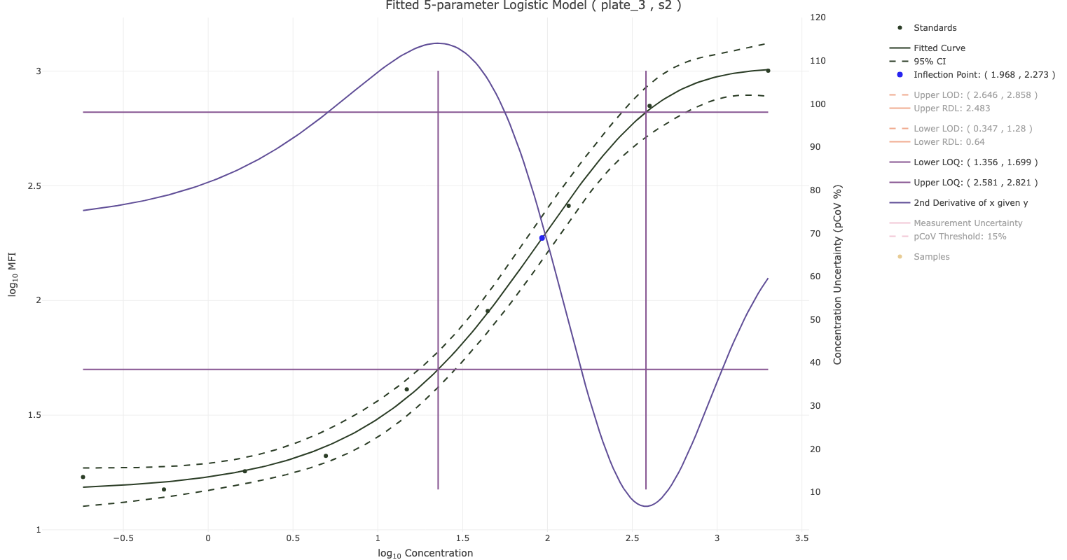
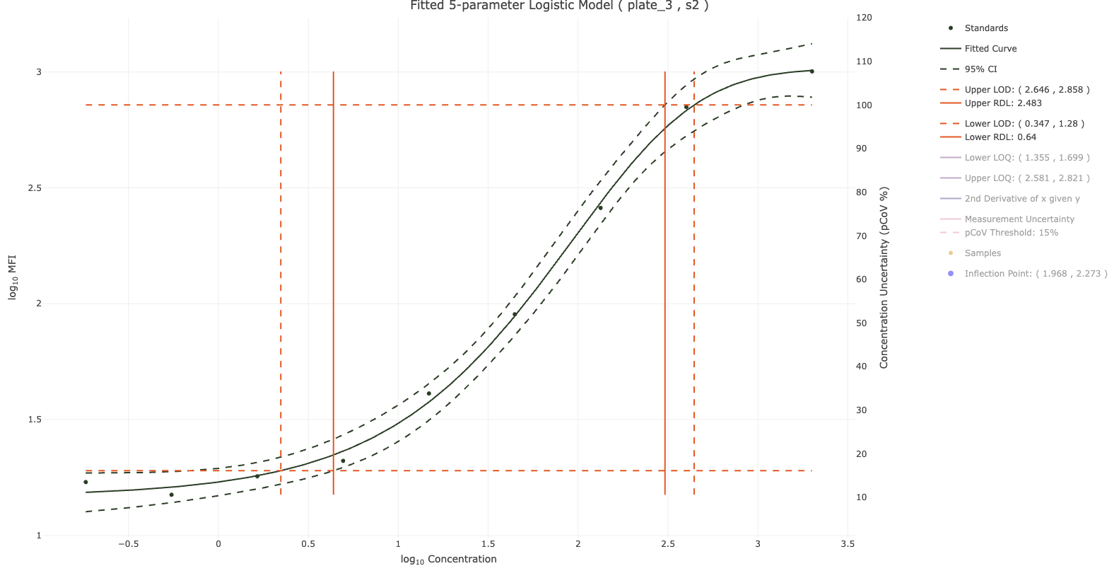
2. Limits of Quantification

The sigmoidal shape of the standard curve is intrinsically more sensitive near its inflection point and in the near linear portion either side of the inflection point, sample concentration can be quantified using the second derivative of concentration with respect to assay response. These limits are automatically calculated for each standard curve model fit in I-SPI.

Limits of Quantification (purple lines) are derived from the shape of the standard curve.

3. Limits of Detection

Detection limits derived from the confidence intervals near the asymptotes of the standard curve define the lowest and highest detectable concentrations for each assay. These limits are automatically calculated for each standard curve in I-SPI.

Limits of Detection (dashed orange lines) identify assay responses and concentrations at the edge of the usable detector range. Solid vertical lines indicate the reliable detection region (RDL) for the assay.

Dilution Analysis and Dilutional Linearity

I-SPI provides a flexible way to categorize the quality of the concentrations giving you options based on your sample limits of interest. The classifications are as follows:

  • Acceptable: samples falling within the chosen limits

  • Too Diluted: samples below the chosen lower limit

  • Too Concentrated: samples above the chosen upper limit 

Classification is performed based on your sample limits of interest and is divided into two categories: passing and not passing. 

When a dilution series is conducted you can visualize how the concentration status shifts. A deeper dive lets you visualize:

  • Classification for the plate dilution series

  • The number of samples with how many dilutions are passing, by timepoint and concentration status. 

This allows you to automatically compare specimen quality compared across dilution series to identify single or multiple acceptable dilutions. I-SPI is flexible, letting you choose how arbitrary units are processed at each number of passing dilutions and concentration status and also provides defaults. 

When more than one dilution is run in an experiment, you can assess the linearity assumption through semi-supervised modeling and appropriate concentration correction, as well as the choice to exclude samples that are too concentrated. This exclusion may help to avoid the possibility of completely saturated bead detection and its influence on the linear fit. 

Compare sample quality across plates run at multiple sample dilutions. Clear tradeoffs are apparent between antigens run at different sample dilutions.

Outliers

At the experiment level, I-SPI calculates three types of outliers for your samples. The three outliers calculated are: the Hampel outlier, bagplot outlier, and kernel density estimate outlier for a set of two time points. An interactive visualization is provided allowing you to identify specific samples that are outliers and view information about the kernel density level, sample identifying information, and samples that are missing at any of the timepoints. 

Subgroup Detection

I-SPI is able to determine subgroups of individuals, characterizing their immunological response with finite mixture models using two timepoints. The magnitude and direction of response is characterized using k-means clustering. This finite mixture model and k-means clustering is displayed in an interactive plot of the response over time for each antigen separated by study arm. Additionally, another plot shows how subjects cluster into subpopulations with similar structure across different antigens.  

Study-Wide Summarization

I-SPI provides you with figures and tables to summarize both the data structure of the data you upload and the results of the quality control data processing. The number of blanks, controls, and standards are shown on each plate for each analyte in the study. Similarly, the number of samples by time period are shown. Arm balance on plates within analytes is also presented visually, ensuring that the balance of your samples by arms is what you expected. Based on your choice of bead count threshold, a plot arranged by antigen and plate indicates the number of samples with a low bead count or a high number of aggregate beads. Sample quality can also be viewed from the study level, summarizing the proportion of samples on each plate by antigen and by sample quality derived from the robust standard curves for the analyte of interest.

Using I-SPI

I-SPI can be used in a laboratory or team setting where many researchers in the institution can have individual access to shared data and results within the lab with access to projects, studies and experiments.

The Interactive Serology Plate Inspector can run as an independent application but can also connect to the ImmunoPlex Data Port. The connection between the two softwares is established with database connection details. Once established, a user with access to a project in I-SPI can pull data into a study in the data portal using a simple interface to select the specific studies and experiments to which the data belongs.

Once the raw data is in the data portal, several identity assignment forms are used to link the study, arms, subjects, antigens, analytes, measurement techniques, and time periods.  You can use the values to pick from existing curated lists for each of these variables and update a preliminary automated matching between the same characteristics in the I-SPI and the data portal. If the incoming data are novel in some way, then the values are added to the variable list on the data portal side (e.g. extra time periods result in new planned visits).